Ответы
Ответ дал:
0
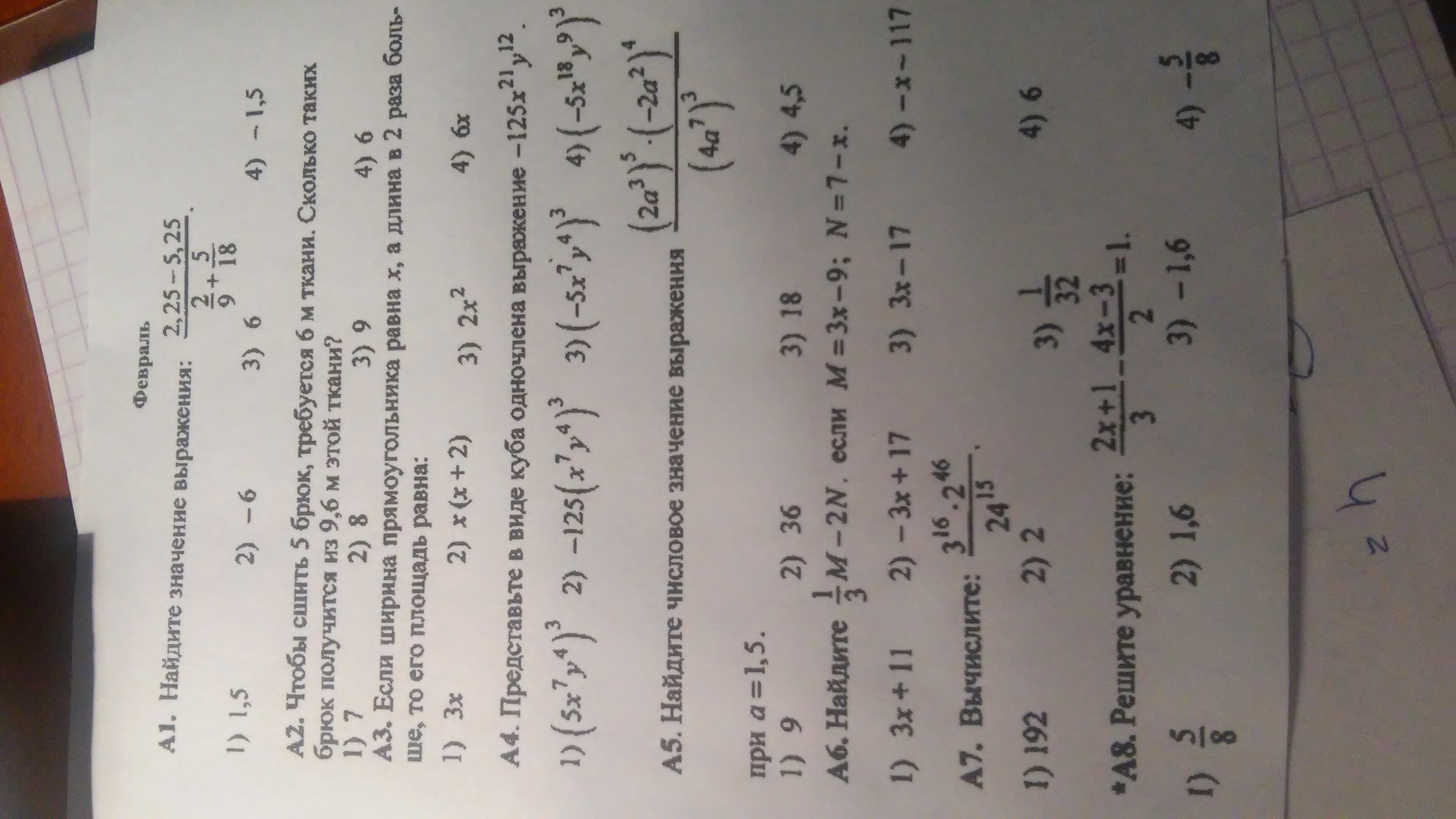
A5
(32a^15*16a^8)/64a^21=8a^23/a^21=8a²
a=1,5 8*2,25=18
Ответ 3
А6
1/3*(3x-9)-2(7-x)=x-3-14+2x=3x-17
Ответ 3
А7
(3^16*2^46)/(8^15*3^15)=3^2^46/2^45=3*2=6
Ответ 4
A8
2(2x+1)-3(4x-3)=1*6
4x+2-12x+9=6
-8x=6-11
-8x=-5
x=5/8
Ответ 1
(32a^15*16a^8)/64a^21=8a^23/a^21=8a²
a=1,5 8*2,25=18
Ответ 3
А6
1/3*(3x-9)-2(7-x)=x-3-14+2x=3x-17
Ответ 3
А7
(3^16*2^46)/(8^15*3^15)=3^2^46/2^45=3*2=6
Ответ 4
A8
2(2x+1)-3(4x-3)=1*6
4x+2-12x+9=6
-8x=6-11
-8x=-5
x=5/8
Ответ 1
Ответ дал:
0
А5.
((2а³)⁵ * (-2а²)⁴ ) / (4а⁷)³ = (2⁵ a³*⁵ * (-2)⁴ a²*⁴) / (2²a⁷)³
= (2⁵а¹⁵ * 2⁴а⁸ ) / (2²а⁷)³ = 2⁵⁺⁴а¹⁵⁺⁸ / 2 ²*³ а⁷*³=
= 2⁹a²³ / 2⁶ a²¹ = 2 ⁹⁻⁶ a²³⁻²¹ = 2³ а² = 8а²
при а=1,5 8*(1,5)²= 8*2,25=18
Ответ: 3)18
А6.
1/3 (3х-9) - 2(7-х) = х -3 -14 +2х = 3х-17
Ответ:3)
А7.
3¹⁶ *2⁴⁶ / 24¹⁵ = 3¹⁶ * 2⁴⁶ / (2³*3)¹⁵ = 3¹⁶ * 2 ⁴⁶ / 2⁴⁵ 3¹⁵ = 3¹*2¹=6
A8.
(2х+1)/3 -(4х-3)/2= 1 |*6
2(2x+1) - 3(4x-3) = 1*6
4x+2-12x+9 =6
-8x +11=6
-8x= 6-11
-8x= -5
x= (-5) : (-8) = 5/8
х= 5/8 = 0,625
проверим:
(2 *0,625 +1) /3 - (4*0,625 -3) /2 = 1
2,25/3 - (-0,5)/2 =1
0,75 - (-0,25)=1
0,75+0,25=1
1=1
Ответ: 1)5/8
((2а³)⁵ * (-2а²)⁴ ) / (4а⁷)³ = (2⁵ a³*⁵ * (-2)⁴ a²*⁴) / (2²a⁷)³
= (2⁵а¹⁵ * 2⁴а⁸ ) / (2²а⁷)³ = 2⁵⁺⁴а¹⁵⁺⁸ / 2 ²*³ а⁷*³=
= 2⁹a²³ / 2⁶ a²¹ = 2 ⁹⁻⁶ a²³⁻²¹ = 2³ а² = 8а²
при а=1,5 8*(1,5)²= 8*2,25=18
Ответ: 3)18
А6.
1/3 (3х-9) - 2(7-х) = х -3 -14 +2х = 3х-17
Ответ:3)
А7.
3¹⁶ *2⁴⁶ / 24¹⁵ = 3¹⁶ * 2⁴⁶ / (2³*3)¹⁵ = 3¹⁶ * 2 ⁴⁶ / 2⁴⁵ 3¹⁵ = 3¹*2¹=6
A8.
(2х+1)/3 -(4х-3)/2= 1 |*6
2(2x+1) - 3(4x-3) = 1*6
4x+2-12x+9 =6
-8x +11=6
-8x= 6-11
-8x= -5
x= (-5) : (-8) = 5/8
х= 5/8 = 0,625
проверим:
(2 *0,625 +1) /3 - (4*0,625 -3) /2 = 1
2,25/3 - (-0,5)/2 =1
0,75 - (-0,25)=1
0,75+0,25=1
1=1
Ответ: 1)5/8
Вас заинтересует
2 года назад
7 лет назад
7 лет назад
10 лет назад
10 лет назад