на материальную точку действуют две силы F1=2Н и F2=2Н, направленные под углом 60град. друг к другу. Равнодействующая двух сил равна?
Ответы
Ответ дал:
0
равнодействующую двух данных сил найдем через теорему косинусов:
F² = F1² + F2² - 2 F1 F2 cos120°,
F² = 8 + 8*0.5 = 12 Н
F = √12 = 2 √3
F² = F1² + F2² - 2 F1 F2 cos120°,
F² = 8 + 8*0.5 = 12 Н
F = √12 = 2 √3
Ответ дал:
0
Что с Вами?
Ответ дал:
0
БЛИН! Кажется, если отметить нарушение, то возможность исправить отпадает? Прости, парень, просто недодумал. Черт. Извини.
Ответ дал:
0
ничего страшного. важнее, что верный ответ, так или иначе, уже дан
Ответ дал:
0
Нет. Это менее важно. Обидеть человека легко. Я правда не хотел.
Ответ дал:
0
:) Успокойтесь. Мы меня не обидели, все хорошо.
Ответ дал:
0
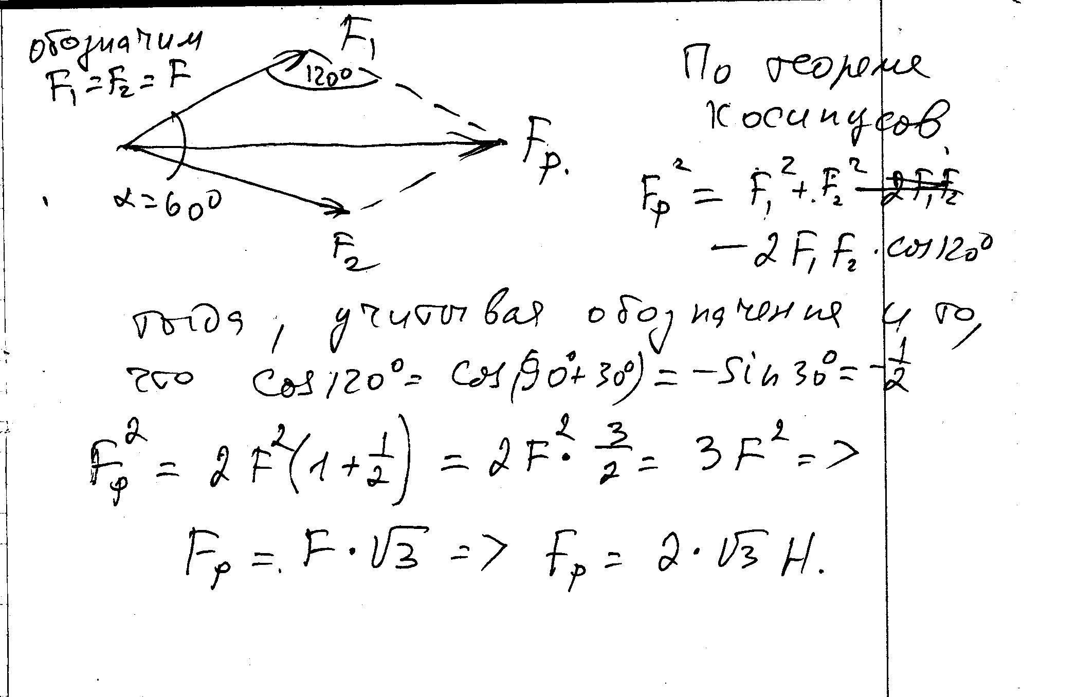
решение в скане.......
Приложения:

Ответ дал:
0
СПАСИБО!
Ответ дал:
0
Удачи Вам. Этот парень великолепный физик. Что-то с ним сегодня не так.
Ответ дал:
0
Бывает, но чего страшного. Я благодарна за малую работу, тк тут я новичок, а помощь мне очень нужна сейчас
Вас заинтересует
2 года назад
7 лет назад
9 лет назад
9 лет назад
10 лет назад