• Предмет: Алгебра
  • Автор: Алик6400
  • Вопрос задан 10 лет назад

Помогите пожалуйста)

Приложения:

Ответы

Ответ дал: математик2011
0
( frac{17}{35} + frac{3}{8} ): frac{5}{28} = frac{17}{35} : frac{5}{28} + frac{3}{8} : frac{5}{28} = frac{17}{35} * frac{28}{5} + frac{3}{8} * frac{28}{5} = frac{17*4}{5*5} + frac{3*28}{8*5} = \  \ = frac{17*4*8+28*3*5}{5*5*8} = frac{4(17*8+7*3*5)}{5*5*8} = frac{136+105}{50} = frac{241}{50} = frac{482}{100} =4,82
( frac{11}{10} - frac{4}{11} ): frac{15}{44} = frac{11*11-4*10}{10*11} * frac{44}{15} = frac{81}{110} * frac{44}{15} = frac{81*2}{5*15} = frac{162}{75} =2 frac{12}{75}= \  =2 frac{4}{25} =2,16
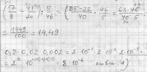
Остальное смотри во вложении
Приложения:
Вас заинтересует