• Предмет: Математика
  • Автор: alekcevizalov11
  • Вопрос задан 10 лет назад

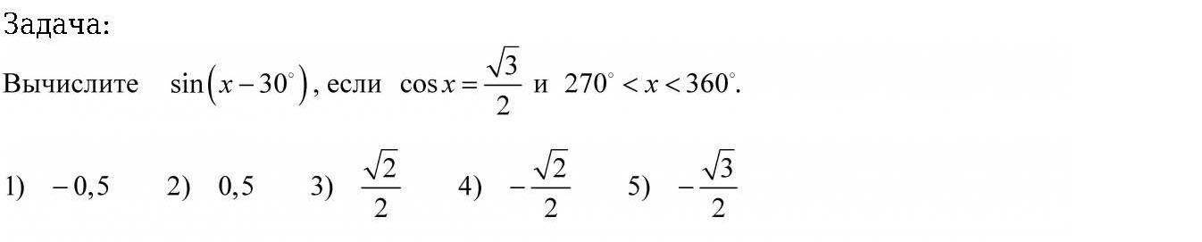
Решите пожалуйста и подскажите к какой теме по математике оно относится

Приложения:

Ответы

Ответ дал: MeShootIn
0
ааааа многа букав
писать долго го скайп
Ответ дал: математик2011
0
3 из 5 - это уже немало. Правда?
Приложения:
Ответ дал: математик2011
0
в третьем задании - ответ: 4) - 2
Ответ дал: alekcevizalov11
0
спасибо большое. а темы этих примеров не подскажешь?
Ответ дал: MeShootIn
0
тригонометрия
Ответ дал: alekcevizalov11
0
спасибо ещё раз
Ответ дал: математик2011
0
а в первом задании - ответ: 5) cos 2x
Вас заинтересует