Ответы
Ответ дал:
0
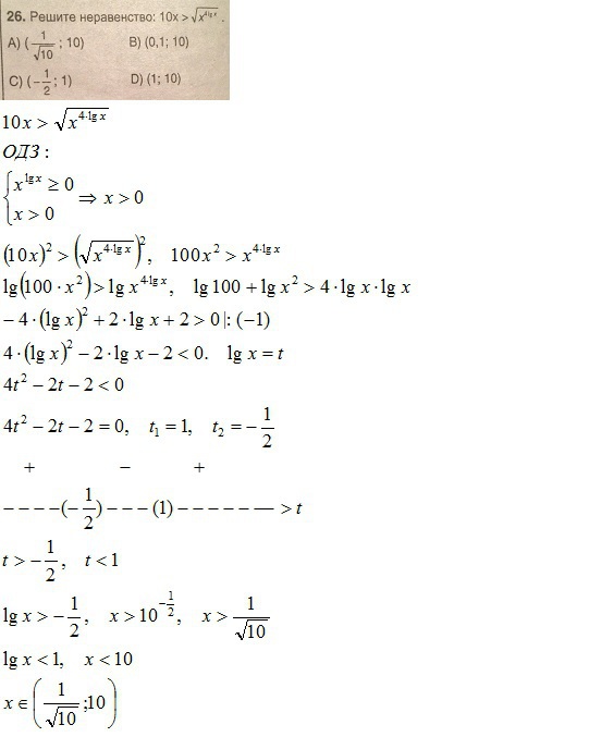
решение во вложении-----------------------
Приложения:

Ответ дал:
0
Вы подставьте 0,1: слева будет 1, а справа lr(0,1)=-1, далее 0,1^(-4)=10000, значит корень из 10000 будет 100. То есть 0,1>100 - неверно. Теперь 10^(-1/2): слева 10/10^(1/2)=3,162. Справа lg(1/10^(1/2))=-0,5 и тогда под корнем (1/10^(1/2))^-2=10, корень из 10 = 3,162. То есть 3,162=3,162.
Приложения:

Вас заинтересует
2 года назад
2 года назад
7 лет назад
7 лет назад
9 лет назад
9 лет назад
10 лет назад