• Предмет: Физика
  • Автор: ilyxa327
  • Вопрос задан 10 лет назад

Помогите пожалуйста! Заранее спасибо

Приложения:

Ответы

Ответ дал: Amigo3
0
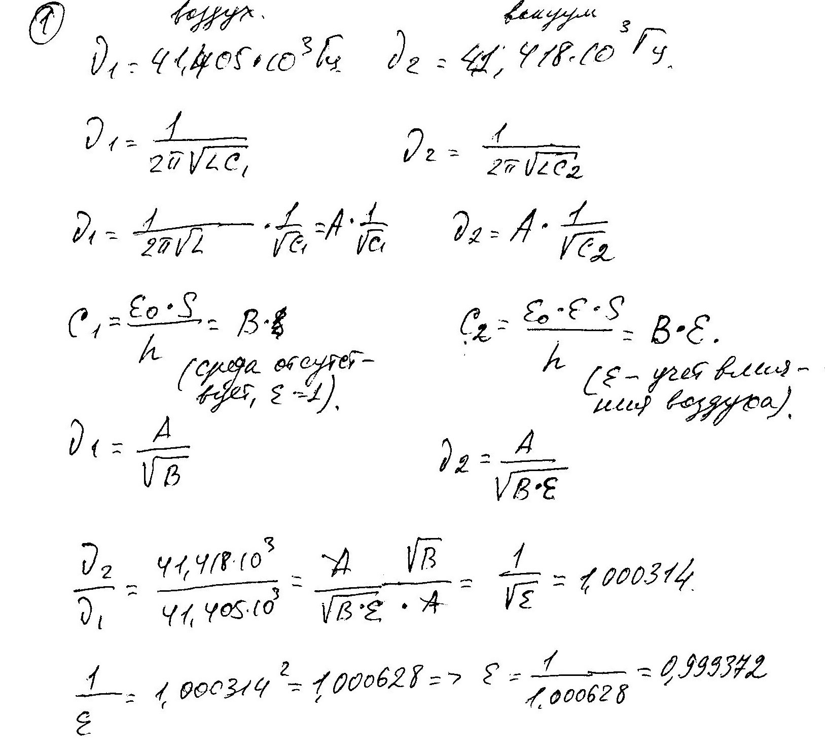
1) задачу решил, решение во вложенном файле.
Приложения:
Ответ дал: ilyxa327
0
Хоть экзамен и прошел, спасибо)
Ответ дал: Amigo3
0
Ну главное что сдали?
Вас заинтересует