• Предмет: Алгебра
  • Автор: rauf9986
  • Вопрос задан 10 лет назад

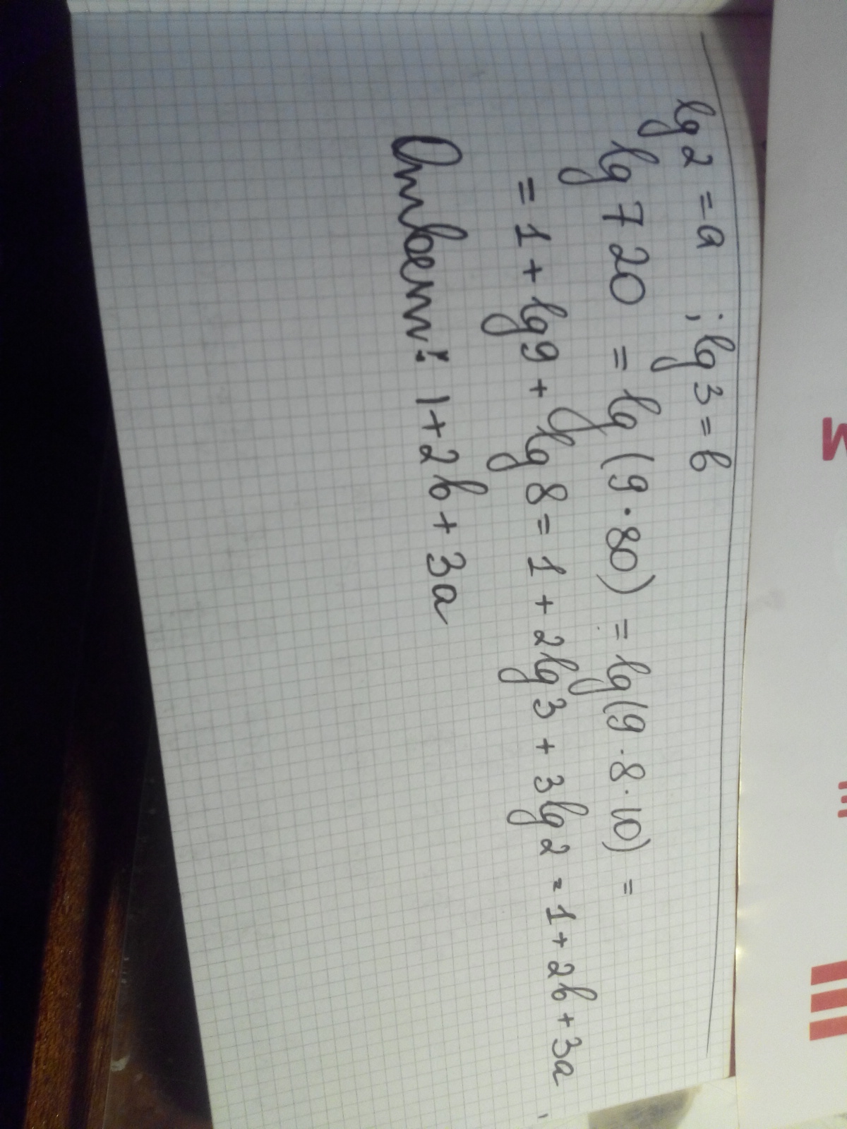
lg 2=a, lg 3=b, lg 720
помогите пожалуйста

Ответы

Ответ дал: Света19999
0
смотри ответ на фотографии
Приложения:
Ответ дал: aleks41
0
lg720=lg(2³·3²·10)=lg2³+lg3²+lg10=3lg2+2lg3+lg10=3a+2b+1.
Приложения:
Вас заинтересует