Ребят объясните как решать такие примеры! Школу закончила 4 года назад, тут пришлось решать, а забыла как ...
Приложения:
Ответы
Ответ дал:
0
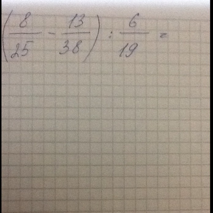
Первое: действие в скобках, находим общий знаменатель и решаем.
1) 8/25 - 13/38 = 304/950 - 325/950 = - 21/950
2) - 21/950 : 6/19 = (-21*19)/(950*6)=- 399/5700 = - 7/100
1) 8/25 - 13/38 = 304/950 - 325/950 = - 21/950
2) - 21/950 : 6/19 = (-21*19)/(950*6)=- 399/5700 = - 7/100
Вас заинтересует
7 лет назад
7 лет назад
10 лет назад
10 лет назад
10 лет назад
10 лет назад