Ответы
Ответ дал:
0
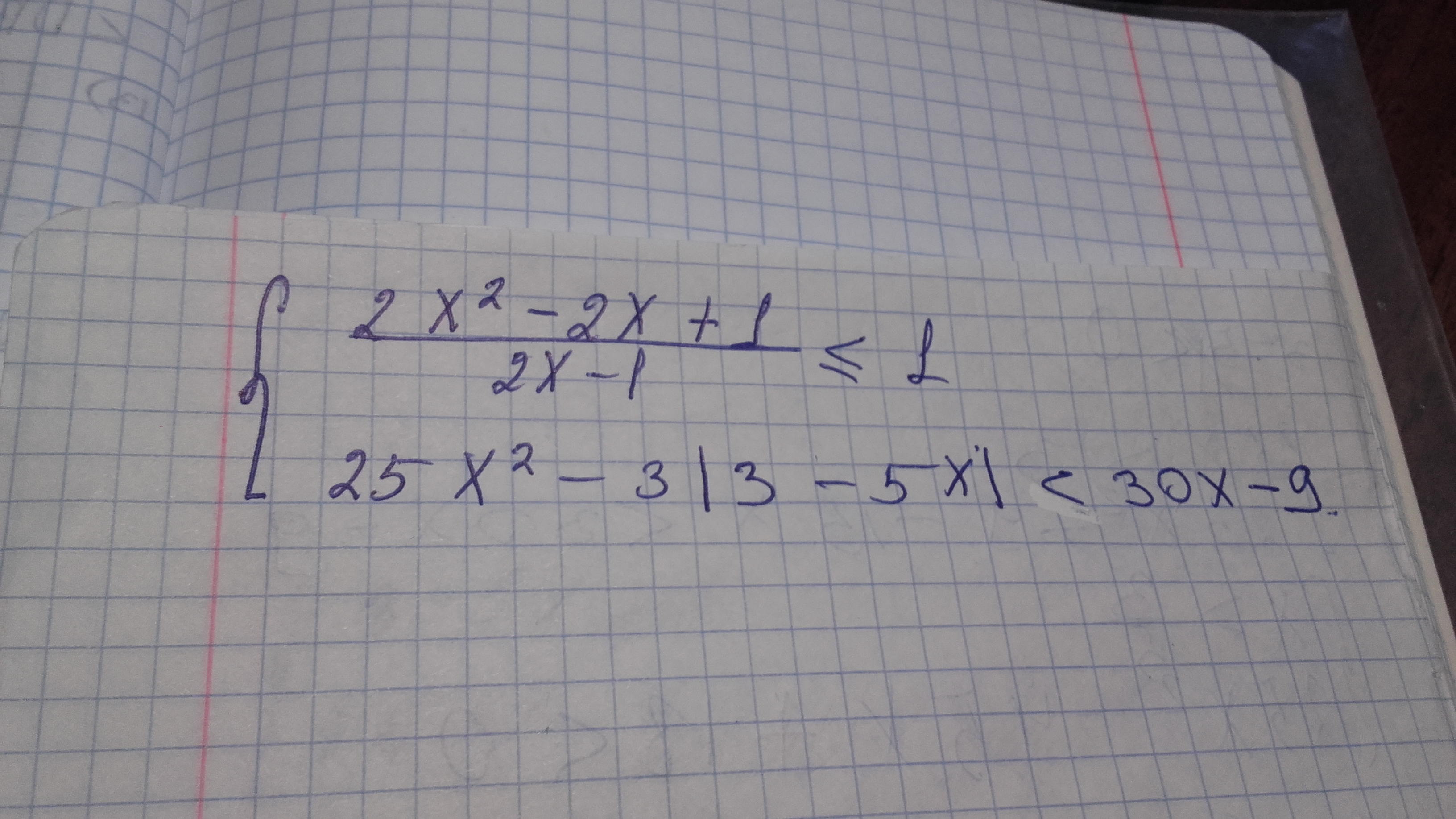
Решим 1 неравенство
(2x²-2x+1)/(2x-1)-1≤0
(2x²-2x+1-2x+1)/(2x-1)≤0
(2x²-4x+2)/(2x-1)≤0
2(x²-2x+1)/(2x-1)≤0
2(x-1)²/(2x-1)≤0
x=1 x=0,5
_ + +
-------------(0,5)-------------[1]-----------------
x<0,5 U x=1
Решим 2 неравенство
25x²-3|3-5x|<30x-9
1)x<0,6
25x²-9+15x-30x+9<0
25x²-15x<0
5x(5x-3)<0
x=0 x=0,6
0<x<0.6
2)x≥0,6
25x²+9-15x-30x+9<0
25x²-45x+18<0
D=2025-1800=225
x1=(45-15)/50=0,6
x2=(45+15)/50=1,2
x≤0,6 U x≥1,2
Общее решение неравенств x∈(-∞;0,5) U {1}
(2x²-2x+1)/(2x-1)-1≤0
(2x²-2x+1-2x+1)/(2x-1)≤0
(2x²-4x+2)/(2x-1)≤0
2(x²-2x+1)/(2x-1)≤0
2(x-1)²/(2x-1)≤0
x=1 x=0,5
_ + +
-------------(0,5)-------------[1]-----------------
x<0,5 U x=1
Решим 2 неравенство
25x²-3|3-5x|<30x-9
1)x<0,6
25x²-9+15x-30x+9<0
25x²-15x<0
5x(5x-3)<0
x=0 x=0,6
0<x<0.6
2)x≥0,6
25x²+9-15x-30x+9<0
25x²-45x+18<0
D=2025-1800=225
x1=(45-15)/50=0,6
x2=(45+15)/50=1,2
x≤0,6 U x≥1,2
Общее решение неравенств x∈(-∞;0,5) U {1}
Вас заинтересует
3 года назад
3 года назад
8 лет назад
8 лет назад
10 лет назад
10 лет назад