• Предмет: Математика
  • Автор: Dorent
  • Вопрос задан 10 лет назад

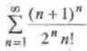
Пользуясь признаком Даламбера, исследовать сходимость ряда.

Приложения:

Ответы

Ответ дал: NNNLLL54
0
sumlimits _{n+1}^{infty } frac{(n+1)^{n}}{2^{n}cdot n!} \\limlimits _{nto infty }frac{a_{n+1}}{a_{n}}=limlimits _{nto infty }frac{(n+2)^{n+1}}{2^{n+1}cdot (n+1)!}cdot frac{2^{n}cdot n!}{(n+1)^{n}}=\\=limlimits _{to infty }frac{(n+2)^{n}cdot (n+2)cdot 2^{n}cdot n!}{2^{n}cdot 2cdot n!cdot (n+1)cdot (n+1)^{n}}=frac{1}{2}cdot limlimits _{nto infty }left (frac{n+2}{n+1}cdot (frac{n+2}{n+1})^{n}right )=

=frac{1}{2}cdot limlimits _{nto infty }left (1cdot (1+frac{1}{n+1})^{n}right )=frac{1}{2}cdot limlimits _{nto infty }left((1+frac{1}{n+1})^{n+1}right )^{frac{n}{n+1}}=\\=frac{1}{2}cdot limlimits _{nto infty }e^{frac{n}{n+1}}=frac{1}{2}cdot e^1=frac{e}{2}>1

Ряд расходится.
Ответ дал: hote
0
что не понравилось в ответе?
Ответ дал: NNNLLL54
0
Наверное то, что не написала, что ряд расходится. Хотела сейчас дописать, но уже нарушение стоит...
Ответ дал: hote
0
отправлю на исправление.. допишите)
Вас заинтересует