• Предмет: Математика
  • Автор: Dorent
  • Вопрос задан 10 лет назад

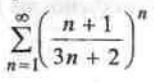
С помощью радикального признака Коши исследовать на сходимость ряд.

Приложения:

Ответы

Ответ дал: NNNLLL54
0
sumlimits _{n=1}^{infty}left (frac{n+1}{3n+2}right )^{n}\\K=limlimits _{nto infty }sqrt[n]{a_{n}}=limlimits _{nto infty } sqrt[n]{left (frac{n+1}{3n+2}right )^{n}} =limlimits _{nto infty }frac{n+1}{3n+2}=frac{1}{3} textless  1

Ряд сходится.
Вас заинтересует