1) Упростить выражение
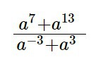
2) Сократить дробь
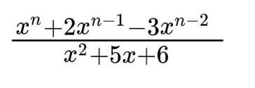
3) Упростить выражение
Пожалуйста с решением, просто ответ не нужен
Приложения:



Ответы
Ответ дал:
0
1) √(8 - 2√7) = √(7 - 2 *1 *√7+ 1) = √(√7-1)^2 = /√7-1/ = √7-1
2) а^7 + а^13/а^-3 + а^3 = а^7(1 + а^6)/а^-3(1 + а^6) = а^10
2) а^7 + а^13/а^-3 + а^3 = а^7(1 + а^6)/а^-3(1 + а^6) = а^10
Вас заинтересует
2 года назад
2 года назад
9 лет назад
10 лет назад