• Предмет: Геометрия
  • Автор: radmirkkka
  • Вопрос задан 10 лет назад

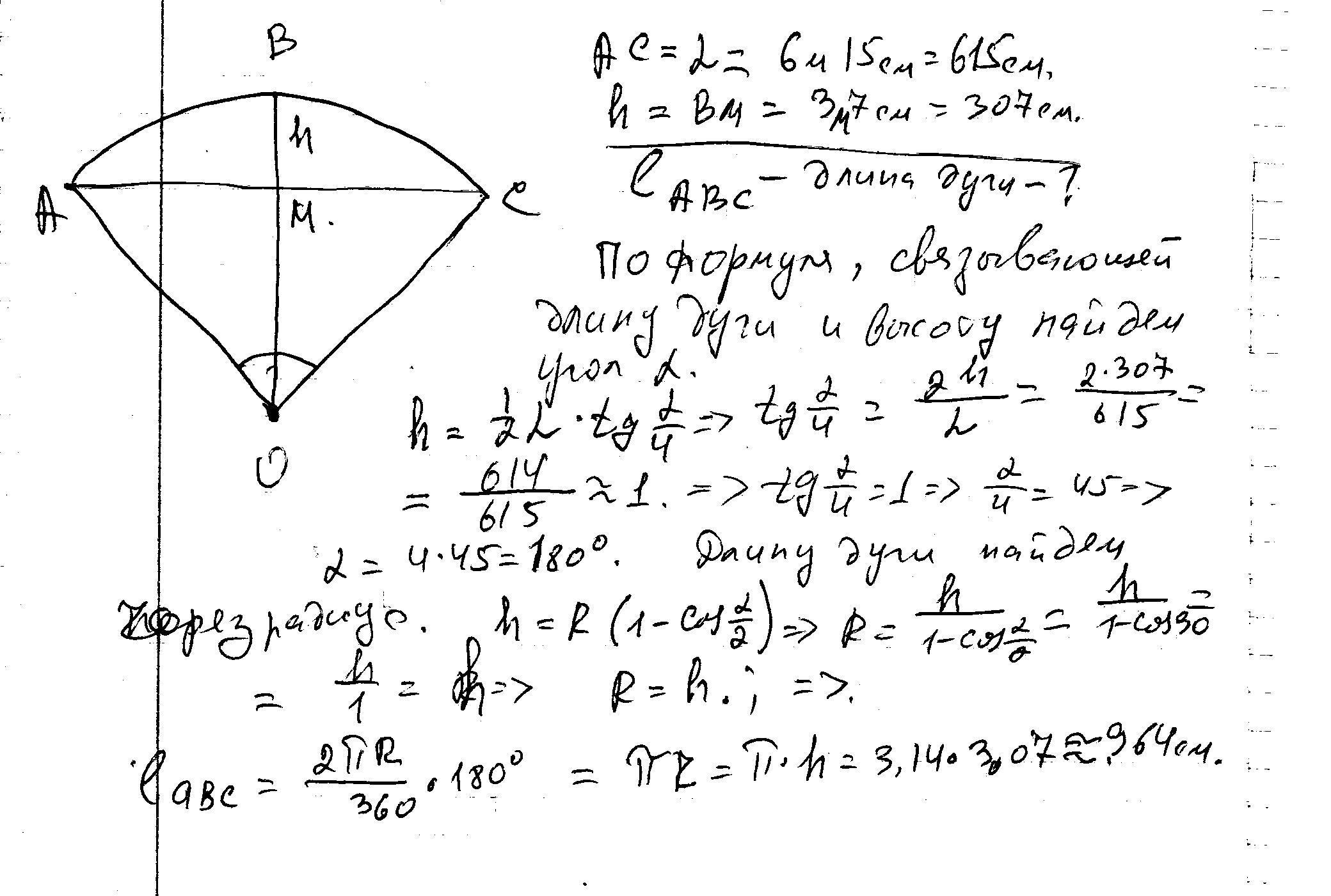
какую дугу надо сделать? если ширина 6м15см а высота 3м 7см

Ответы

Ответ дал: ужнеужели
0
решение в скане..............
Приложения:
Вас заинтересует