Решите неравенства:
1) 5/12^х +143> либо равно 5/12^х+2
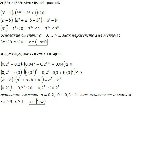
2) (3^х -1)(3^2х +3^х +1)< либо равно 0.
3). (0,2^х -0,2)(0,04^х - 0,2^х+1 + 0,04)> 0.
2 и 3 пример там можно собрать формулу куб разности.
Срочно!!)
Ответы
Ответ дал:
0
решение 2 и 3 во вложении---------------------------
Приложения:

Ответ дал:
0
Помоги еще плиз
Ответ дал:
0
решение этого примера не добавить, прошло много времени
Ответ дал:
0
Помоги еще немного у меня на странице есть неравенства.
Неизвестно3377
Вроде все понятно записала.
Неизвестно3377
Желательно сфоткай потом.
Неизвестно3377
Вроде все понятно записала.
Неизвестно3377
Желательно сфоткай потом.
Ответ дал:
0
Нужна ваша помощь. На мою страничку срочно
Ответ дал:
0
Помогите на моей странице все
Вас заинтересует
2 года назад
7 лет назад
9 лет назад
9 лет назад
10 лет назад