• Предмет: Алгебра
  • Автор: MilenaFord
  • Вопрос задан 10 лет назад

б!!!!!!!!!!!!!!!!!!!!

Приложения:

Ответы

Ответ дал: ShirokovP
0
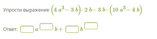
(4a^3 - 3b)2b - 3b(10a^3 - 4b) =
= 8a^3b - 6b^2 - 30a^3b + 12b^2 = 
= - 22*a^3*b + 6*b^2


Вас заинтересует