• Предмет: Математика
  • Автор: golyshewaulia
  • Вопрос задан 10 лет назад

ПОМОГИТЕ ПОЖАЛУЙСТА!!!!

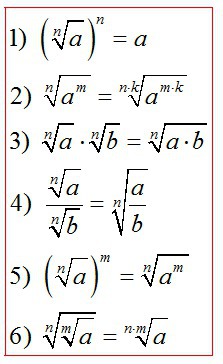
Как правильно читаются формулы арифметического корня????

Приложения:

Ответы

Ответ дал: donche08
0
1. Корень п степень из числа в степени п равен а 
Вас заинтересует