• Предмет: Математика
  • Автор: gontar1987
  • Вопрос задан 9 лет назад

ТЕОРИЯ ВЕРОЯТНОСТИ . Помогите решить пожалуйста,кто действительно в этом разбирается .Если не сложно то немного с пояснением.

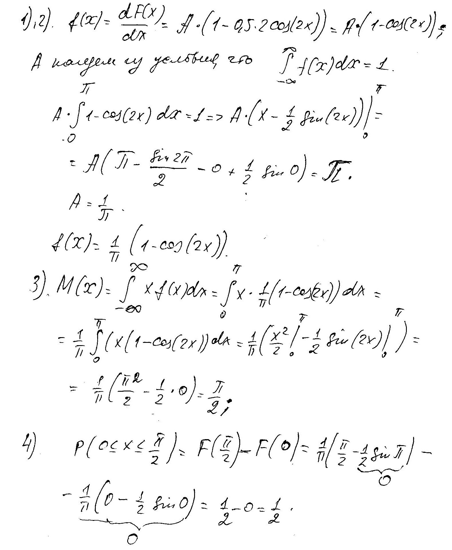
Непрерывная случайная величина х задана функцией распределения .
1) найти А
2)найти плотность распределения Ф(х)
3)вычислить М (х)
4)определить Р(0<или= х <или= пи/2)
Заранее спасибо

Приложения:

Ответы

Ответ дал: Amigo3
0
Решение в прикреплённом файле.
Приложения:
Вас заинтересует