Найдите радиус круга, вписанного в прямоугольный треугольник, если проекции катетов на гипотинузу равны 9 и 10 см.
Ответы
Ответ дал:
0
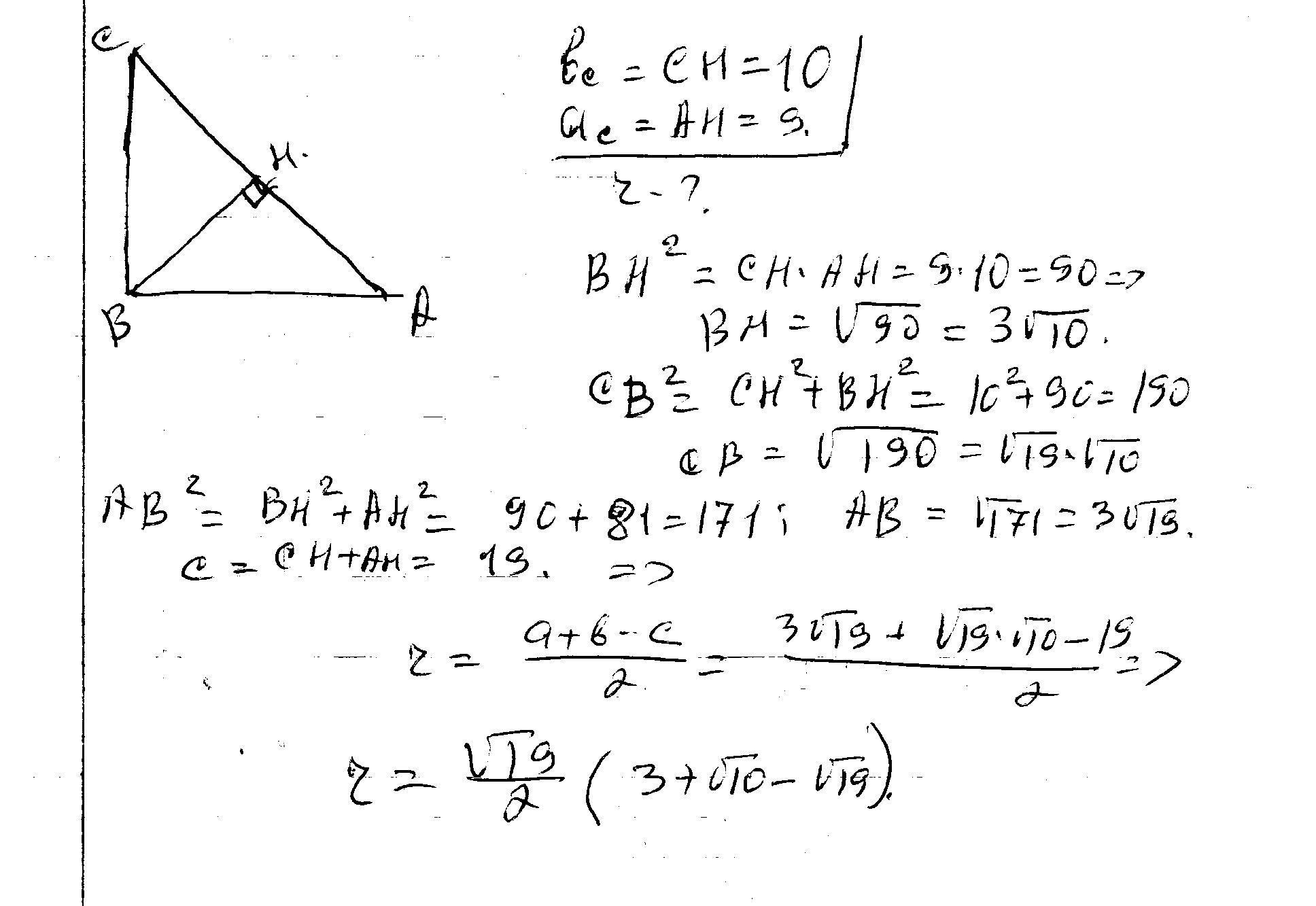
решение в скане...........
Приложения:
Вас заинтересует
2 года назад
2 года назад
7 лет назад
7 лет назад
10 лет назад
10 лет назад
10 лет назад
10 лет назад