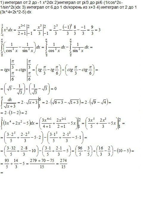
1) интеграл от 2 до -1 x^2dx 2)интеграл от pi/3 до pi/6 (1/cos^2x-1/sin^2x)dx 3) интеграл от 6 до 1 dx/корень из x+3 4) интеграл от 2 до 1 (3x^4+2x^2-5) dx
Ответы
Ответ дал:
0
решение во вложении-----------------------
Приложения:

Вас заинтересует
2 года назад
2 года назад
7 лет назад
9 лет назад
9 лет назад
10 лет назад
10 лет назад