• Предмет: Математика
  • Автор: Paragonishe
  • Вопрос задан 10 лет назад

Помогите Пожалуйста с решением

Приложения:

Ответы

Ответ дал: mishka19
0
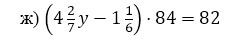
(4 frac{2}{7} y-1 frac{1}{6})*84=82  \  \ 4 frac{2}{7} y-1 frac{1}{6}= frac{82}{84}  \  \ 4 frac{2}{7} y-1 frac{1}{6}= frac{41}{42}  \  \ 4 frac{2}{7} y=1 frac{1}{6}^{(7}+ frac{41}{42} \  \ 4 frac{2}{7} y=1 frac{7}{42}+ frac{41}{42}  \  \ 4 frac{2}{7} y=1 frac{48}{42} \  \ 4 frac{2}{7} y=2frac{6}{42} \  \ 4 frac{2}{7} y=2 frac{1}{7}
y=2 frac{1}{7}:4 frac{2}{7}  \  \ 
y= frac{15}{7}: frac{30}{7} \  \ 
y=  frac{15}{7}*frac{7}{30} \  \ 
y= frac{1}{2}  \  \ y=0,5
Вас заинтересует