Решите неравенство:
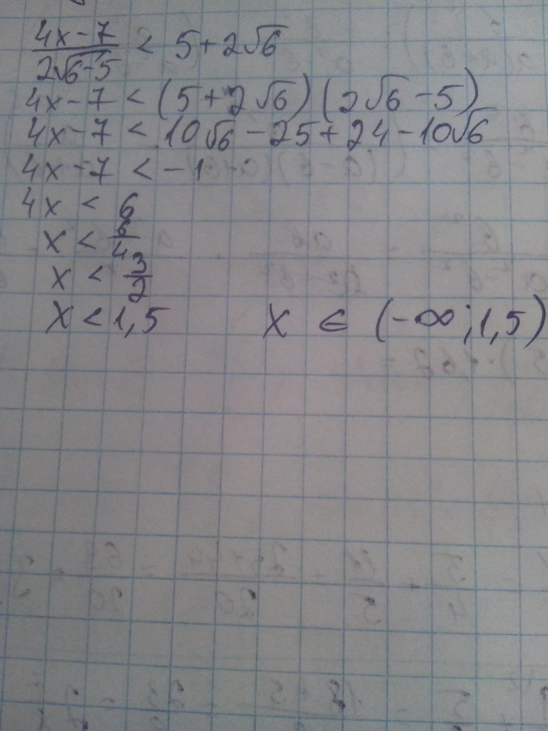
В числителе: 4х-7 ;в знамен.: 2 корней из 6 - 5. < 5+2 корней из 6.
ПОЖАЛУЙСТА)))
Ответы
Ответ дал:
0
......................
Приложения:
Вас заинтересует
3 года назад
3 года назад
8 лет назад
8 лет назад
10 лет назад
10 лет назад
10 лет назад