Ответы
Ответ дал:
0
Целочисленный корень легко угадать.
x=1, подставляем это в левую часть
1 - 6 + 7 + 6 - 8 = 0.
x=1 это один из корней.
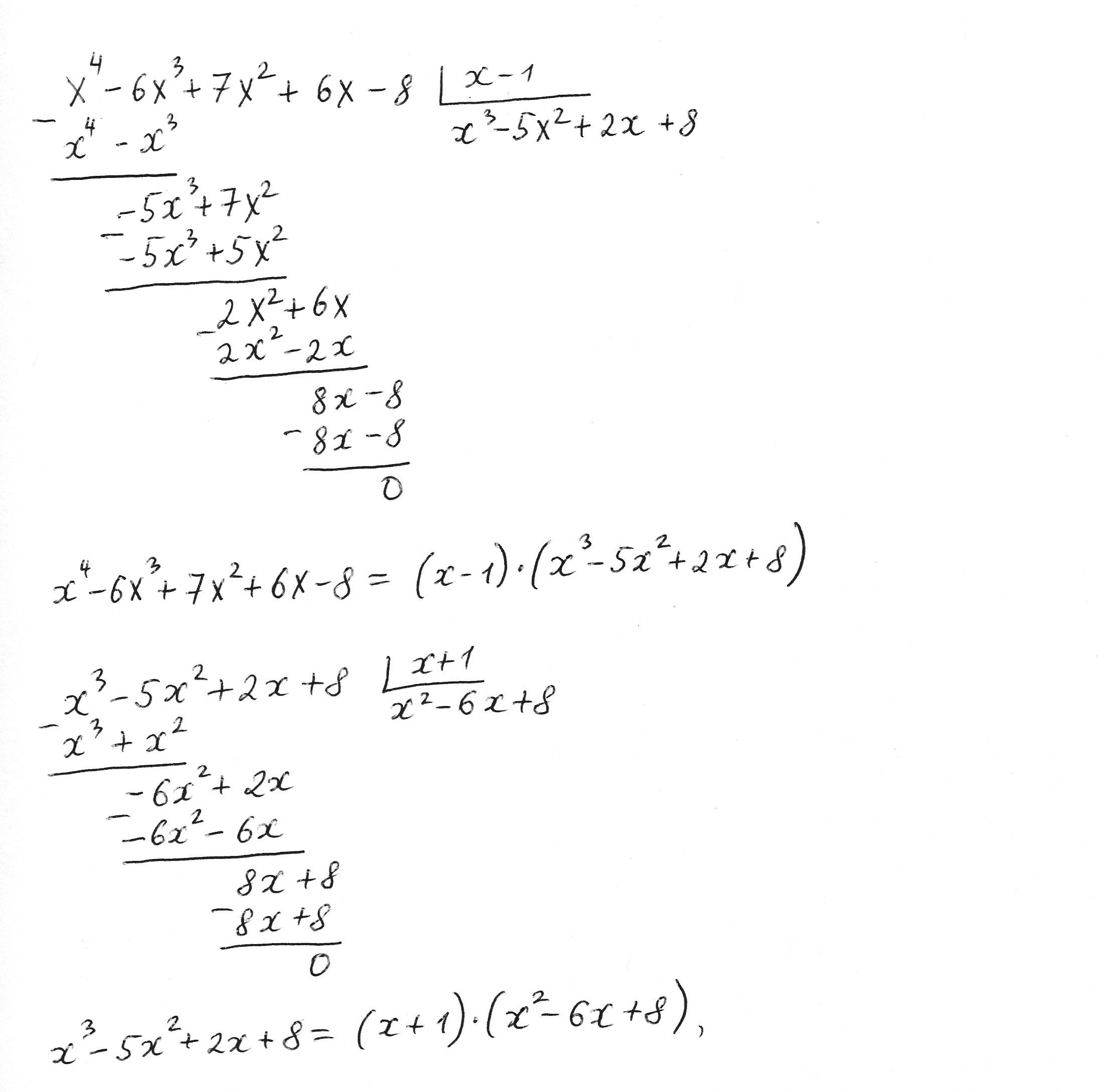
разделив столбиком (x^4 - 6x^3 + 7x^2 + 6x -8) на (x-1), получим
x^4 - 6x^3 + 7x^2 + 6x - 8 = (x-1)*(x^3 - 5x^2 + 2x + 8).
(Деление столбиком многочлена на многочлен - см. ниже на прикрепленном листочке).
x^3 - 5x^2 + 2x + 8 = 0;
Далее опять угадываем целочисленный корень (он очень простой x=-1).
(-1)^3 - 5*(-1)^2 + 2*(-1) + 8 = -1-5 -2+8 = -6+6 = 0.
Далее опять делим (x^3 - 5x^2 +2x + 8) на (x+1) столбиком. (на листочке, прикрепленном ниже).
x^3 - 5x^2 + 2x +8 = (x+1)*(x^2 - 6x +8).
x^2 - 6x +8 = 0;
D/4 = 3^2 - 8 = 1,
x= (3-1)= 2, или x = 3+1=4.
Ответ. x1=1; x2=-1; x3=2; x4=4.
Как находить целочисленные корни? Есть общее правило: целочисленный корень многочлена с целыми коэффициентами является делителем свободного члена.
x=1, подставляем это в левую часть
1 - 6 + 7 + 6 - 8 = 0.
x=1 это один из корней.
разделив столбиком (x^4 - 6x^3 + 7x^2 + 6x -8) на (x-1), получим
x^4 - 6x^3 + 7x^2 + 6x - 8 = (x-1)*(x^3 - 5x^2 + 2x + 8).
(Деление столбиком многочлена на многочлен - см. ниже на прикрепленном листочке).
x^3 - 5x^2 + 2x + 8 = 0;
Далее опять угадываем целочисленный корень (он очень простой x=-1).
(-1)^3 - 5*(-1)^2 + 2*(-1) + 8 = -1-5 -2+8 = -6+6 = 0.
Далее опять делим (x^3 - 5x^2 +2x + 8) на (x+1) столбиком. (на листочке, прикрепленном ниже).
x^3 - 5x^2 + 2x +8 = (x+1)*(x^2 - 6x +8).
x^2 - 6x +8 = 0;
D/4 = 3^2 - 8 = 1,
x= (3-1)= 2, или x = 3+1=4.
Ответ. x1=1; x2=-1; x3=2; x4=4.
Как находить целочисленные корни? Есть общее правило: целочисленный корень многочлена с целыми коэффициентами является делителем свободного члена.
Приложения:
Вас заинтересует
3 года назад
3 года назад
10 лет назад
10 лет назад