Ответы
Ответ дал:
0
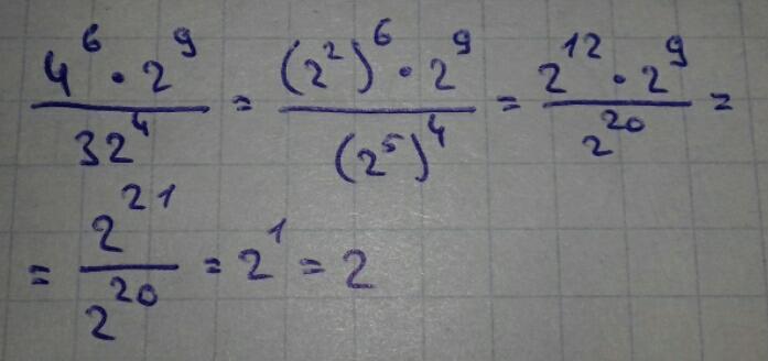
Решение задания смотри в приложении.
Объяснения:
Для степеней с одинаковыми основаниями верно следующее
1. При перемножении показатели складываются;
2. При делении - вычитаются.
При возведении в степень, показатели степеней перемножаются.
Приложения:

Вас заинтересует
2 года назад
2 года назад
7 лет назад
7 лет назад
9 лет назад
9 лет назад
10 лет назад