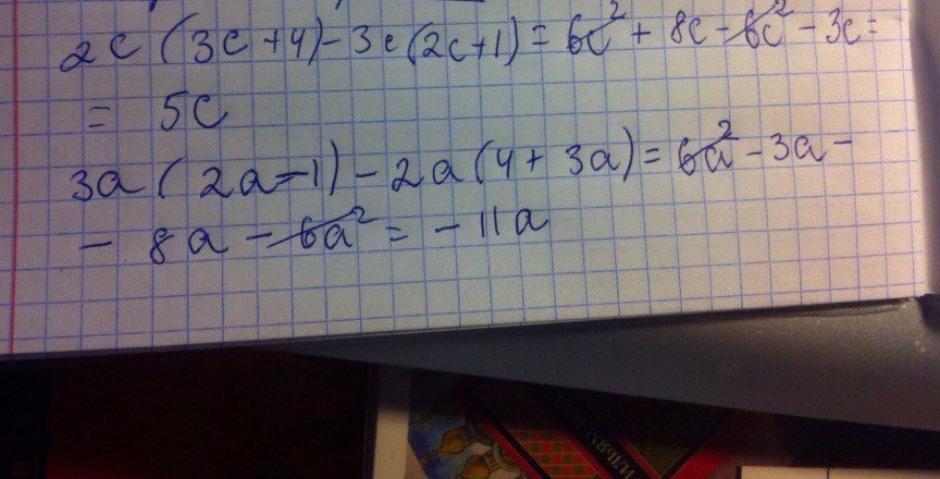
2c(3c+4)-3c(2c+1)
3a(2a-1)-2a(4+3a)
Пожалуйста помогите ещё раз с похожим заданием (упростить выражение)совсем не поняла эту тему ,заранее большущее СПАСИБО!
Ответы
Ответ дал:
0
напиши если почерк не разбираешь
Приложения:

Ответ дал:
0
благодарю *-*
Вас заинтересует
2 года назад
7 лет назад
7 лет назад
9 лет назад
10 лет назад
10 лет назад