Ответы
Ответ дал:
0
внимательно выучи свойства степеней
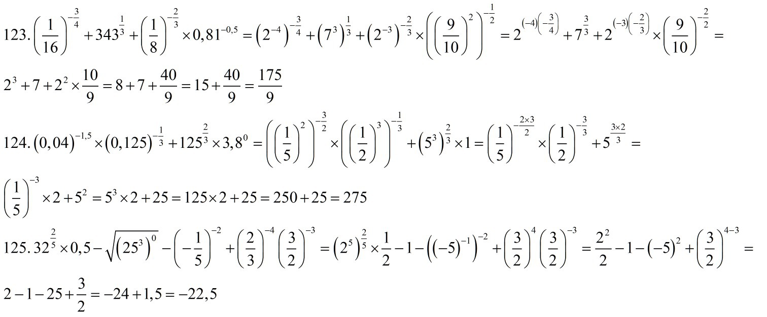
решение смотри во вложении
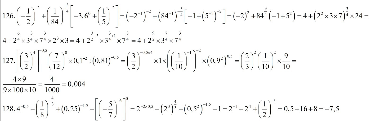
решение смотри во вложении
Приложения:


Вас заинтересует
2 года назад
7 лет назад
9 лет назад
10 лет назад