• Предмет: Химия
  • Автор: anyutakobzar
  • Вопрос задан 3 года назад

Ребят, ответ на задание я нашла! Но мне нужна помощь в объяснении решения этого задания!!! ВООБЩЕМ КТО СИЛЕН В ХИМИИ ПОМОГИТЕ :З

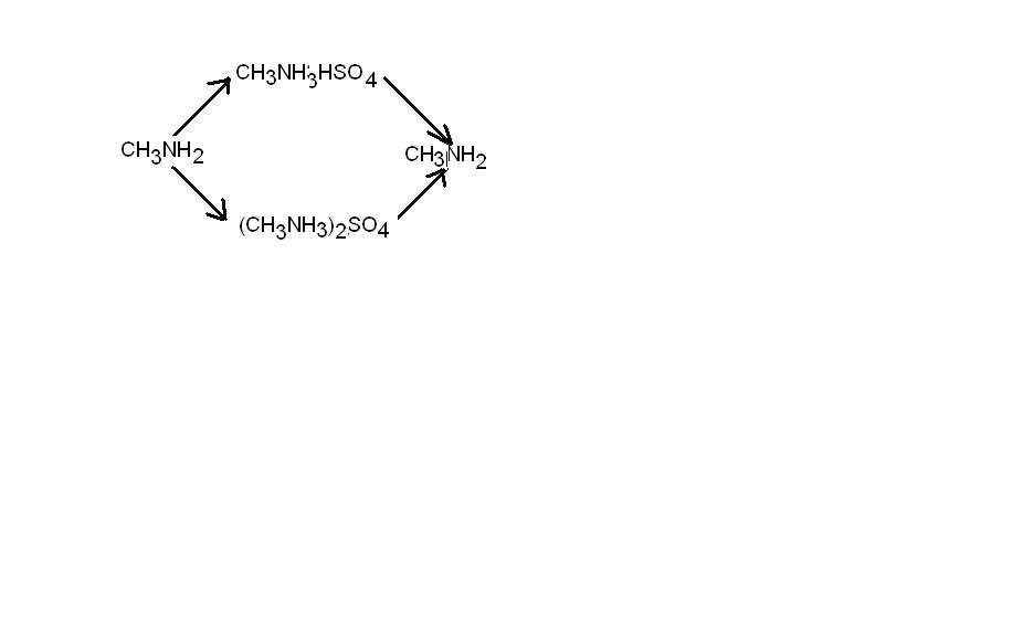
ЗАДАНИЕ: Составьте уравнения реакций, в результате которых можно осуществить следующие превращения: (см. в вложения)

РЕШЕНИЕ:

ch3nh2 + h2so4 = [ch3nh3]hso4

[ch3nh3]hso4 +2naoh= ch3nh2 + na2so4 + 2h2o

2ch3nh2 + h2so4 =[ch3nh3]2so4

[ch3nh3]2so4 + 2naoh = 2ch3nh2 + naso4 + 2h2o

С ВАС ОБЪЯСНЕНИЕ!

Приложения:

Ответы

Ответ дал: хихимик
15

амины по свойствам похожи на аммиак.

Аммиак и амины - основания, реагируют с кислотами

NH3 +H2SO4 = NH4HSO4

CH3NH3 +H2SO4 = CH3NH3HSO4

 

2NH3 +H2SO4 = (NH4)2SO4

2CH3NH3 +H2SO4 = (CH3NH3)2SO4

 

соли аммония реагируют со щелочами с образованием аммиака, аналогично с солями амминов

 NH4HSO4 + 2NaOH =Na2SO4 + NH3 + 2H2O

 CH3NH3HSO4+ 2NaOH =Na2SO4 + CH3NH2 + 2H2O

 

(NH4)2SO4+ 2NaOH =Na2SO4 + 2NH3 + 2H2O

(CH3NH3)2SO4+ 2NaOH =Na2SO4 + 2CH3NH2 + 2H2O

Вас заинтересует