Ответы
Ответ дал:
0
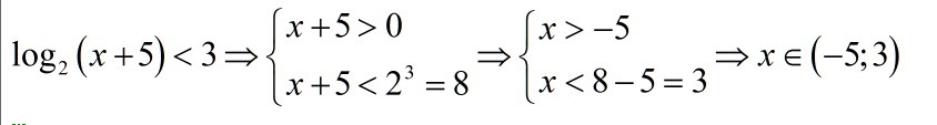
решение смотри во вложении
Приложения:

Ответ дал:
0
это все ? а дальше нет никаких решений ?
Ответ дал:
0
да, все
Вас заинтересует
2 года назад
2 года назад
9 лет назад
9 лет назад
10 лет назад