• Предмет: Алгебра
  • Автор: Умник075356
  • Вопрос задан 10 лет назад

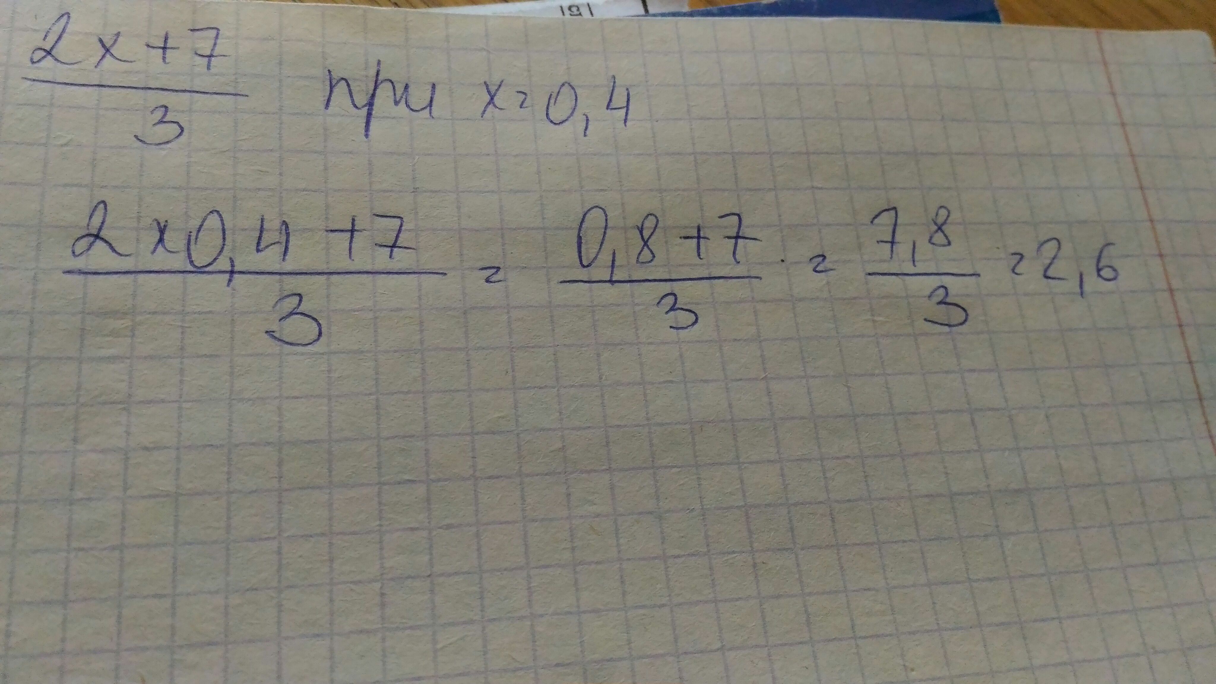
Решите ..............

Приложения:

Ответы

Ответ дал: Wwhale
0
2×0.4=0.8
0.8+7=7.8
7.8:3=2.6
вроде так
Ответ дал: Kotya22
0
Вот ответ , держи , вроде верно все
Приложения:
Вас заинтересует