Ответы
Ответ дал:
0
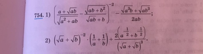
1)√a(√a+√b)/√a√(a+b) - √b√(a+b)/√b(√a+√b)=
=(√a+√b)/√(a+b) -√(a+b)/(√a+√b)=(a+2√(ab)+b-a-b)/√(ab)(√a+√b)=
=2√(ab)/√(a+b)(√a+√b)
2)[2√(ab)/√(a+b)(√a+√b)]^-2=(a+b)(√a+√b)²/4ab
3)(a+b)(√a+√b)²/4ab-(a√(ab)+b√(ab)/2ab=
=(a²+2a√(ab)+ab+ab+2b√(ab)+b²-2a√(ab)-2b√(ab))/4ab=
=(a²+2ab+b²)/4ab=(a+b)²/4ab
2
1)(√a+√b)^-2=1/(√a+√b)²
2)1/a+1/b=(b+a)/ab
3)1/(√a+√b)²*(b+a)/ab=(a+b)/ab(√a+√b)²
4)2(1/√a+1/√b)=2(√b+√a)/√(ab)
5)2(√b+√a)/√(ab) : (√a+√b)³=2/√(ab)(√a+√b)²
6)(a+b)/ab(√a+√b)²+2/√(ab)(√a+√b)²=(a+b+2√(ab)/ab(√a+√b)²=
=(√a+√b)²/ab(√a+√b)²=1/ab
=(√a+√b)/√(a+b) -√(a+b)/(√a+√b)=(a+2√(ab)+b-a-b)/√(ab)(√a+√b)=
=2√(ab)/√(a+b)(√a+√b)
2)[2√(ab)/√(a+b)(√a+√b)]^-2=(a+b)(√a+√b)²/4ab
3)(a+b)(√a+√b)²/4ab-(a√(ab)+b√(ab)/2ab=
=(a²+2a√(ab)+ab+ab+2b√(ab)+b²-2a√(ab)-2b√(ab))/4ab=
=(a²+2ab+b²)/4ab=(a+b)²/4ab
2
1)(√a+√b)^-2=1/(√a+√b)²
2)1/a+1/b=(b+a)/ab
3)1/(√a+√b)²*(b+a)/ab=(a+b)/ab(√a+√b)²
4)2(1/√a+1/√b)=2(√b+√a)/√(ab)
5)2(√b+√a)/√(ab) : (√a+√b)³=2/√(ab)(√a+√b)²
6)(a+b)/ab(√a+√b)²+2/√(ab)(√a+√b)²=(a+b+2√(ab)/ab(√a+√b)²=
=(√a+√b)²/ab(√a+√b)²=1/ab
Вас заинтересует
3 года назад
3 года назад
8 лет назад
8 лет назад
10 лет назад
10 лет назад