• Предмет: Алгебра
  • Автор: koshulinskiy
  • Вопрос задан 3 года назад

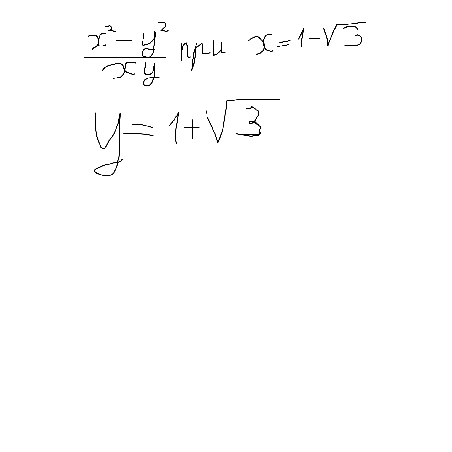
найдите значение алгебраического отношения

Приложения:

Ответы

Ответ дал: Salates
10

(x-y)(x+y)/xy

(1-sqr3-1-sqr3)(1-sqr3+1+sqr3)/(1-sqr3)(1+sqr3)=

=-4sqr3/(-2)=2sqr3

 

P.S. sqr это корень))

 

Вас заинтересует