Ответы
Ответ дал:
0
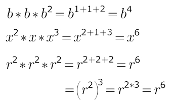
если основания степени одинаковые, то
при умножении показатели степени складываются,
при делении показатели степени вычитаются,
при возведении в степень показатели степени перемножаются...
при умножении показатели степени складываются,
при делении показатели степени вычитаются,
при возведении в степень показатели степени перемножаются...
Приложения:

Вас заинтересует
2 года назад
2 года назад
9 лет назад
9 лет назад
10 лет назад