• Предмет: Алгебра
  • Автор: steep6
  • Вопрос задан 9 лет назад

ПОМОГИТЕ ПОЖАЛУЙСТА РЕШИТЬ ЭТОТ ПРИМЕР :

Приложения:

Ответы

Ответ дал: m11m
0
(c^{ frac{1}{3} }+d)(c^{ frac{2}{3} }-d)(c^{ frac{2}{3} }-c^{ frac{1}{3} }d+d^2)= \ 
=(c^{ frac{1}{3} }+d)(c^{ frac{2}{3} }-c^{ frac{1}{3} }d+d^2)(c^{ frac{2}{3} }-d)= \ 
=((c^{ frac{1}{3} })^3+d^3)(c^{ frac{2}{3} }-d)=(c+d^3)(c^{ frac{2}{3} }-d)= \ 
=c*c^{ frac{2}{3} }+d^3c^{ frac{2}{3} }-cd-d^3d= \ 
=c sqrt[3]{c^2}+d^3 sqrt[3]{c^2}-cd-d^4
Ответ дал: steep6
0
Там такого варианта ответа нет :(
Ответ дал: lol531
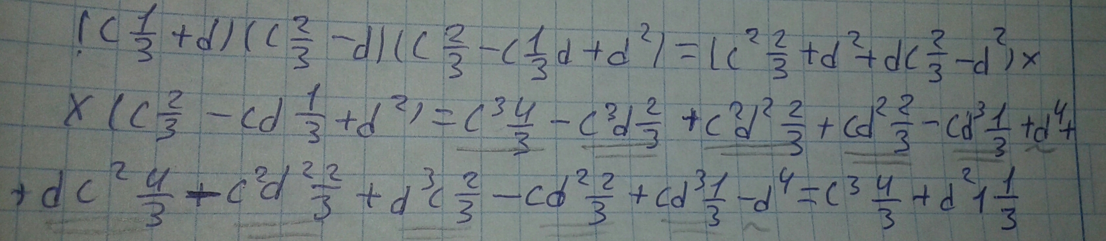
0
вот, устала считать не сколько раз пересчитывала, так как путалась
Приложения:
Ответ дал: steep6
0
Там такого варианта ответа нет :(
Вас заинтересует