Ответы
Ответ дал:
0
Если я правильно понял условие, то:


Ответ дал:
0
Спасибо)
Ответ дал:
0
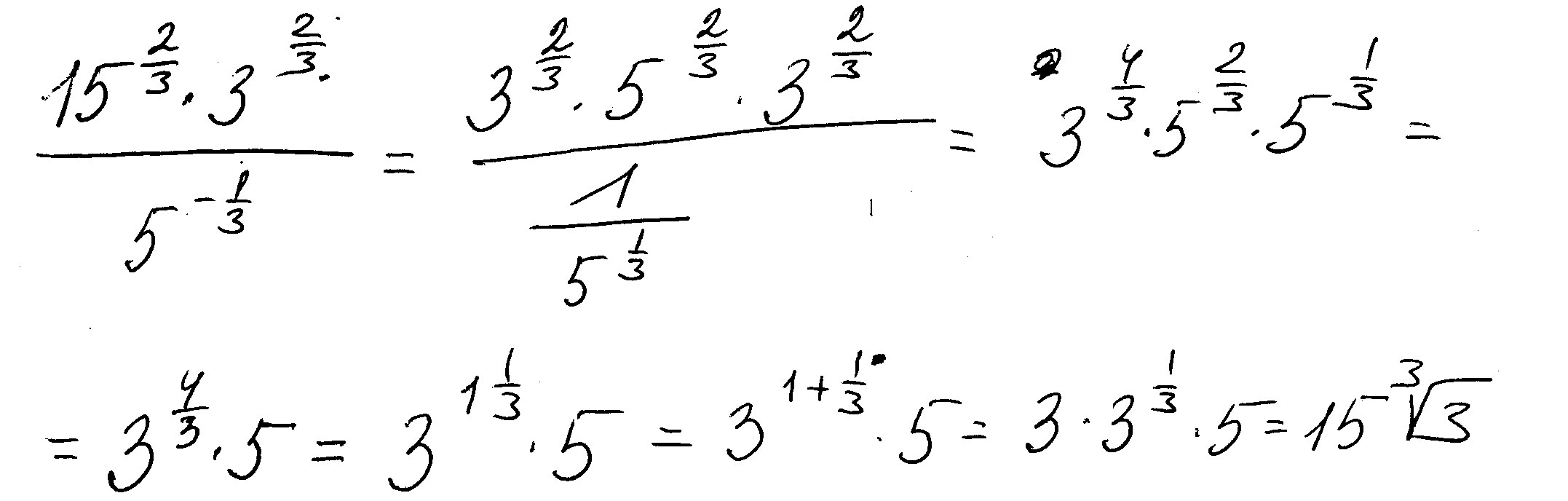
решение во вложенном файле
Приложения:

Вас заинтересует
2 года назад
2 года назад
7 лет назад
9 лет назад
9 лет назад
10 лет назад
10 лет назад