• Предмет: Алгебра
  • Автор: Vladik2001Lor
  • Вопрос задан 9 лет назад

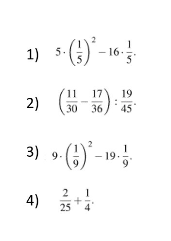
Помогите решить. Нужен только ответ. Заранее спасибо.

Приложения:

Ответы

Ответ дал: FCBARSELONA1MESSI
0
1) -3 2) 189334 3) -19 4) 33/100 или 0,33
Вас заинтересует