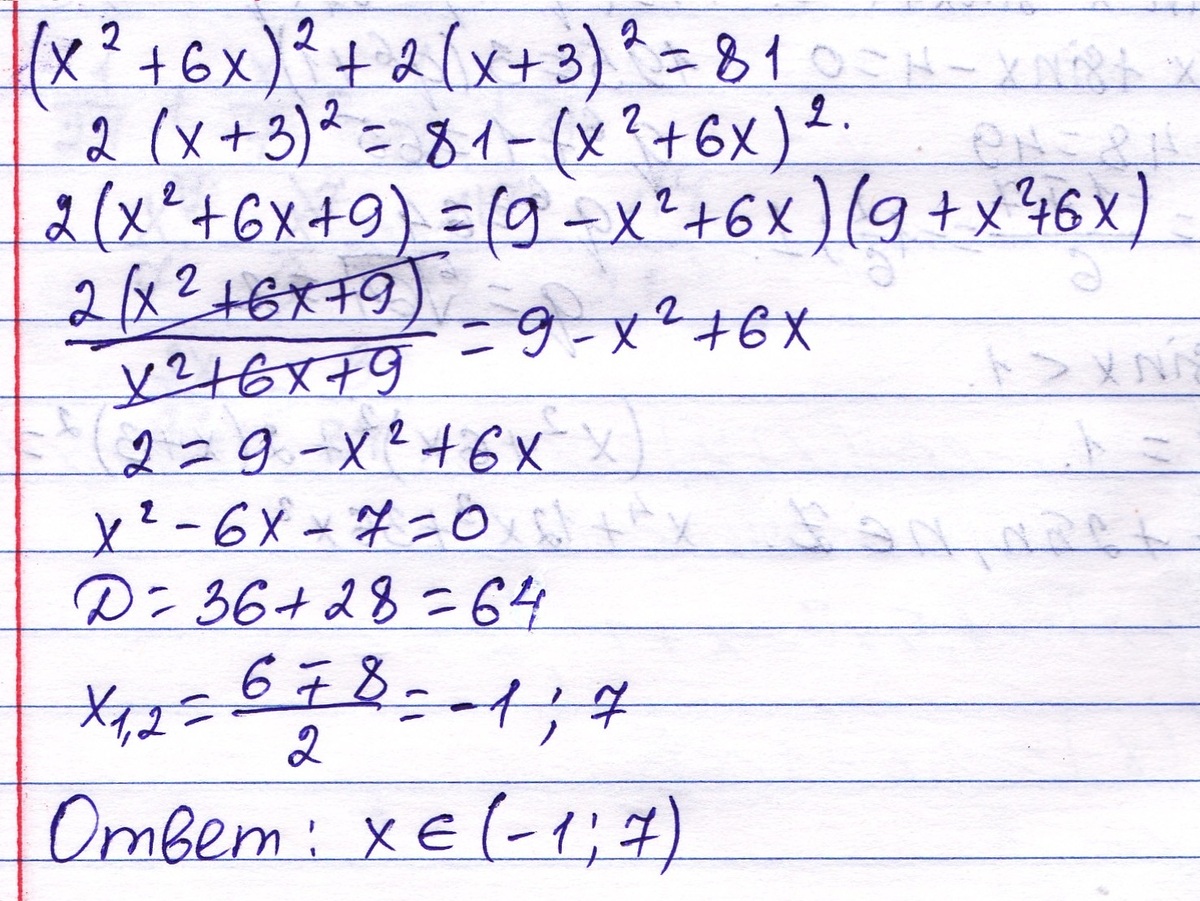
нужно завтра сдать вариант гиа, а я не поняла это уравнение, помогите пожалуйста решить
Приложения:

Ответы
Ответ дал:
2
ответ я положила во влажении!
Приложения:

Вас заинтересует
2 года назад
2 года назад
2 года назад
7 лет назад
7 лет назад
9 лет назад
9 лет назад