• Предмет: Математика
  • Автор: jdvjdvfkndhxlb
  • Вопрос задан 9 лет назад

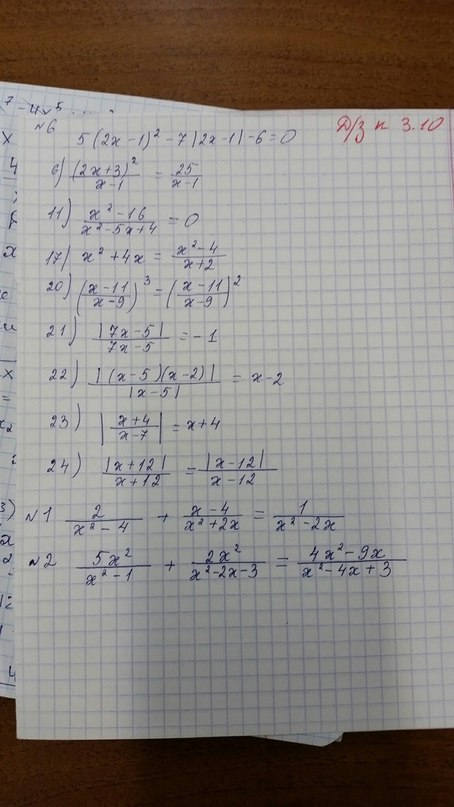
Помогииите пожалуйста решить хотя бы несколько!!!!

Приложения:

Ответы

Ответ дал: хейтер4
0
А что там сказано? Решить или сократить илм еще что-то??
Ответ дал: jdvjdvfkndhxlb
0
просто решить.Помоги пожалуйста,если сможешь.
Вас заинтересует