Ответы
Ответ дал:
1
==============================================================
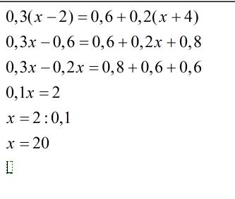
уравнение сейчас исправлю и прилеплю
Приложения:


Вас заинтересует
2 года назад
2 года назад
7 лет назад