Ответы
Ответ дал:
1
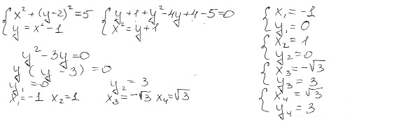
я вважаю, що, якщо не будувати графіки функцій, то точки перетину їх графиків можна знайти через систему рівнянь
***
у мене вийшло чотири точки перетину
(-1; 0)
(1; 0)
(-√3; 3)
(√3; 3)
Приложения:

Вас заинтересует
2 года назад
2 года назад
7 лет назад
9 лет назад