• Предмет: Математика
  • Автор: danilantropov1
  • Вопрос задан 9 лет назад

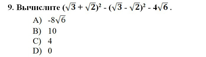
Помогите пожалуйста)). буду благодарен)

Приложения:

Ответы

Ответ дал: Nitalina
0
3+2+2 корня из 6-3-2+2 корня из 6-4 корня из 6=0
Ответ дал: kakakakasha
0
(√3+√2)^2-(√3-√2)^2-4√6=5-5-4√6=0 вроде так
Вас заинтересует