Ребята, если не сложно решите неравенства, а то до завтра сдать тест:
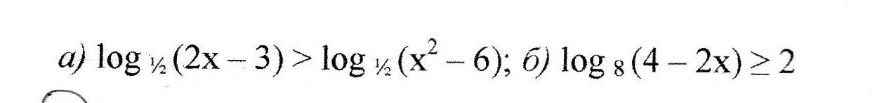
a) log по основанию 1/2 (2x-3) > log по основанию 1/2 (x^2-6)
b)log по основанию 8 (4-2х)>=2
Приложения:

Ответы
Ответ дал:
0
а)log 1/2(2x-3)> log 1/2(x^2-6)
2x-3>x^2-6
x^2-2x+3<0
x1=3 x2=-1
ответ -1<x<3
б)log 8(4-2x)>=2
log8(4-2x)>=log8(64)
4-2x>=64
x<=-30
Вас заинтересует
2 года назад
2 года назад
2 года назад
7 лет назад
9 лет назад