Ответы
Ответ дал:
0
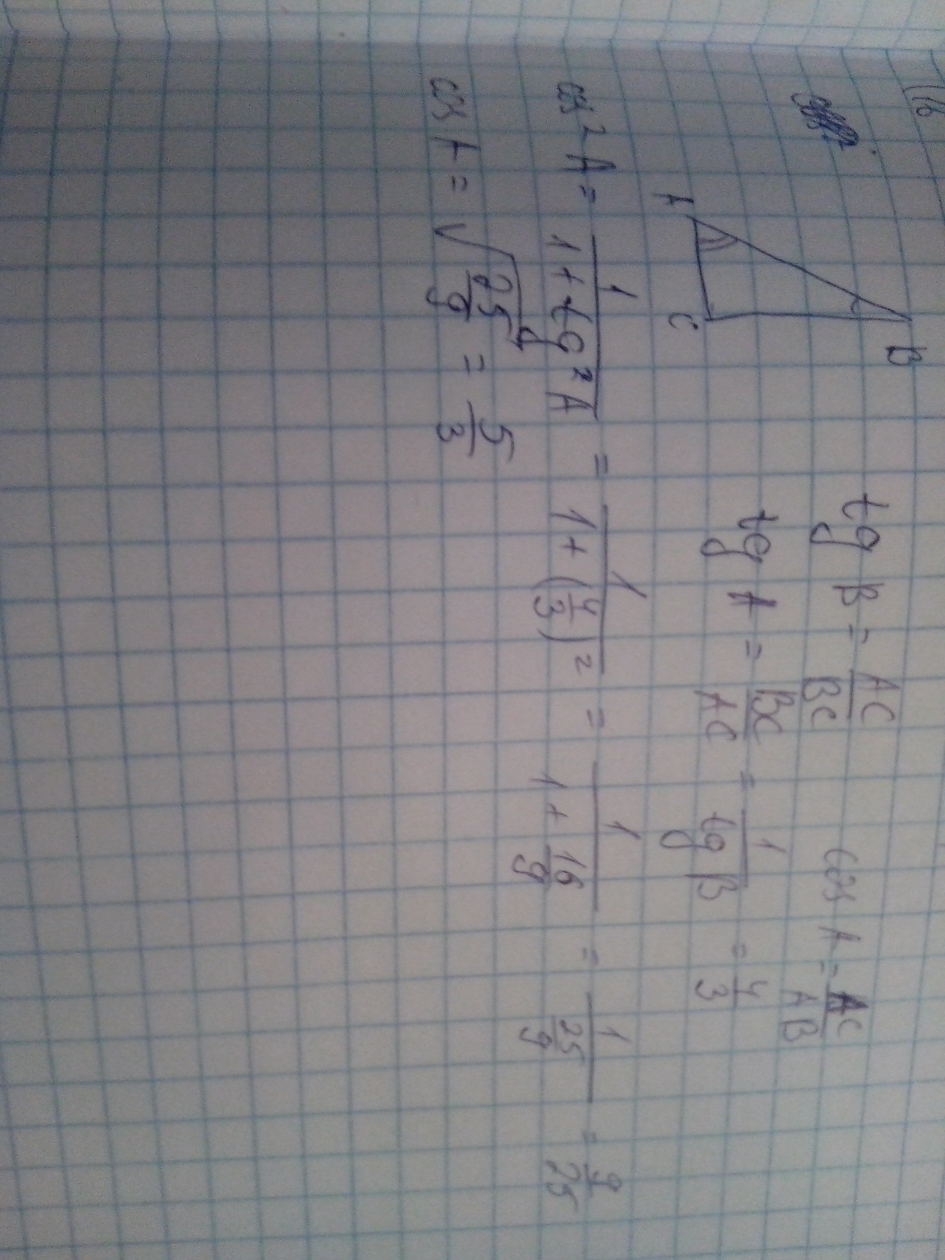
Решение во вложении.
Приложения:
Ответ дал:
0
пусть длина ац 4х тогда длинна цб 3х
а длинна аб 5х (по теореме пифагора )тогда
5х косинус альфа равно 4 х
косинус равен 4/5
а длинна аб 5х (по теореме пифагора )тогда
5х косинус альфа равно 4 х
косинус равен 4/5
Вас заинтересует
3 года назад
3 года назад
7 лет назад
10 лет назад
10 лет назад
10 лет назад