• Предмет: Алгебра
  • Автор: Christina88
  • Вопрос задан 3 года назад

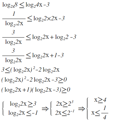
решите пожалуйста неравенство

Приложения:

Ответы

Ответ дал: Аноним
1

решение смотри во вложении

Приложения:
Вас заинтересует