Ответы
Ответ дал:
0
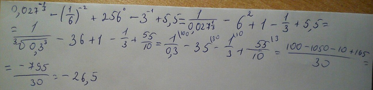
1/∛0,27-36+1-1/3+5,5=2 2/3 -35 +5,5=2 2/3 -29,5
Ответ дал:
0
Я думаю, что так.Надеюсь, что помогла:з
Приложения:

Вас заинтересует
7 лет назад
9 лет назад
9 лет назад
10 лет назад