Ответы
Ответ дал:
0
решение во вложении.....................
Приложения:


Ответ дал:
0
9.
а) а⁻5:а⁻⁴=а⁻⁵⁺⁴=а⁻¹=1/а
б) b¹⁷:b⁻¹⁹=b¹⁷⁺¹⁹=b³⁶
В) с⁴⁶:с⁻⁴⁴=с⁴⁶+⁴⁴=с⁹⁰
г) d⁻²¹:d⁻³⁶=d⁻²¹⁺³⁶=d¹⁵
д) е⁻²³:е⁷=е⁻²³⁻⁷=е⁻³⁰=1/е³⁰
е) f⁻²⁶:f⁻⁴⁴=f⁻²⁶⁺⁴⁴=f ¹⁸
ж) g⁴⁷:g⁻¹⁸=g⁶⁵
з) h⁻⁹:h²=h⁻⁹⁻²=h⁻¹¹=1/h¹¹
10.
а) (a³*c⁻⁴)⁻³=a⁻³*³ c⁽⁻⁴⁾*⁽⁻³⁾ =a⁻⁹*c¹²=c¹²/a⁹
б) (9l)⁻²=1/(9l)²=1/(81*l²)
в) (3z³)⁻⁴=3⁻⁴ z⁻³*⁴=1/(3⁴*z¹²)=1/(81z¹²)
г) (2fg²)⁻⁸=1/(2fg²)⁸=1/(256f⁸g¹⁶)
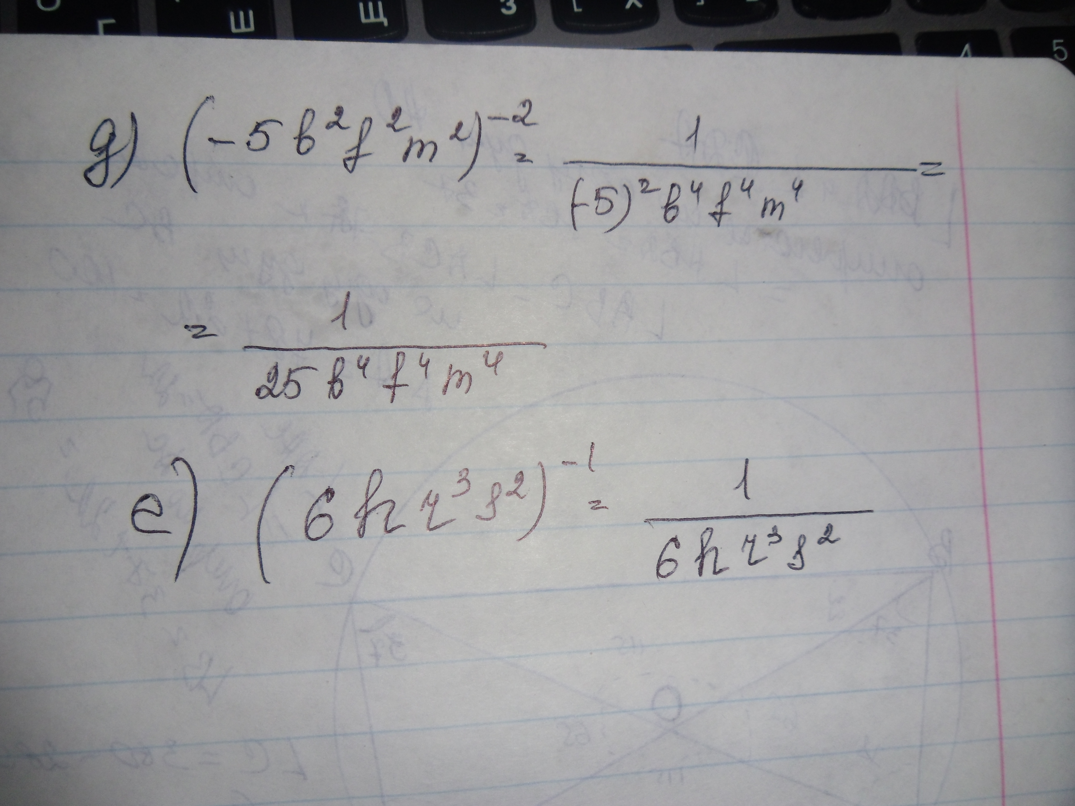
д) (-5b²f²m²)⁻²=1/(-5b² f² m²)²=1/(25b⁴ f⁴ m⁴)
е) (6hr³s²)⁻¹=1/(6hr³s²)
а) а⁻5:а⁻⁴=а⁻⁵⁺⁴=а⁻¹=1/а
б) b¹⁷:b⁻¹⁹=b¹⁷⁺¹⁹=b³⁶
В) с⁴⁶:с⁻⁴⁴=с⁴⁶+⁴⁴=с⁹⁰
г) d⁻²¹:d⁻³⁶=d⁻²¹⁺³⁶=d¹⁵
д) е⁻²³:е⁷=е⁻²³⁻⁷=е⁻³⁰=1/е³⁰
е) f⁻²⁶:f⁻⁴⁴=f⁻²⁶⁺⁴⁴=f ¹⁸
ж) g⁴⁷:g⁻¹⁸=g⁶⁵
з) h⁻⁹:h²=h⁻⁹⁻²=h⁻¹¹=1/h¹¹
10.
а) (a³*c⁻⁴)⁻³=a⁻³*³ c⁽⁻⁴⁾*⁽⁻³⁾ =a⁻⁹*c¹²=c¹²/a⁹
б) (9l)⁻²=1/(9l)²=1/(81*l²)
в) (3z³)⁻⁴=3⁻⁴ z⁻³*⁴=1/(3⁴*z¹²)=1/(81z¹²)
г) (2fg²)⁻⁸=1/(2fg²)⁸=1/(256f⁸g¹⁶)
д) (-5b²f²m²)⁻²=1/(-5b² f² m²)²=1/(25b⁴ f⁴ m⁴)
е) (6hr³s²)⁻¹=1/(6hr³s²)
Приложения:


Вас заинтересует
2 года назад
2 года назад
7 лет назад
7 лет назад
9 лет назад
9 лет назад
10 лет назад