• Предмет: Алгебра
  • Автор: lovegaziza
  • Вопрос задан 3 года назад

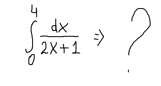
найти интеграл....... во вложениях

Приложения:

Ответы

Ответ дал: radiorybba
1

Константу 1/2 можно вынести за знак интеграла, от оставшегося под знаком интеграла (х + 1/2) легко берётся табличный интеграл:

 

1/2 * ln|x + 1/2|  от 0 до 4. Подставляем значения:

1/2 * (ln(9/2) - ln(1/2)) = 1/2 * ln9 = ln3.

Ответ дал: Alphaeus
1

Производим замену:
<var>t = 2x+1\\ dt=(2x+1)'dx =&gt; dt=2dx =&gt; dx = 1/2dt\\ \int\limits^4_0 \frac{1}{2x+1}\, dx = \frac{1}{2} \int\limits^4_0 \frac{1}{t}\, dt =\\ \frac{1}{2}ln(t) I_{0}^4=\\ \frac{1}{2}ln(2x+1) I_{0}^4=\\ \frac{1}{2}*(ln(2*4+1) - ln(2*0+1))=\\ \frac{1}{2}*(ln9 - ln1)=\\ \frac{1}{2}ln9 = ln3 \approx 1,09861</var>

 

 

<var>I_{0}^4</var> - тут должна быть вертикальная черта (такой же высоты, как знак интеграла), возле которой пишутся верхний и нижний пределы

 

Извини, что-то LaTex глючит

Вас заинтересует