• Предмет: Алгебра
  • Автор: d2sin
  • Вопрос задан 9 лет назад

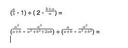
HELP ME PLIZZZZZ!!!!!!

Приложения:

Ответы

Ответ дал: kamron971
0

извени не смог отредактировать)))))
Приложения:
Вас заинтересует