• Предмет: Алгебра
  • Автор: polinavinnikova
  • Вопрос задан 9 лет назад

Срочно. В понедельник контрольную писать!!!
Пожалуйста, помогите решить рациональное уравнение.....

Приложения:

Ответы

Ответ дал: ViolAleks
0
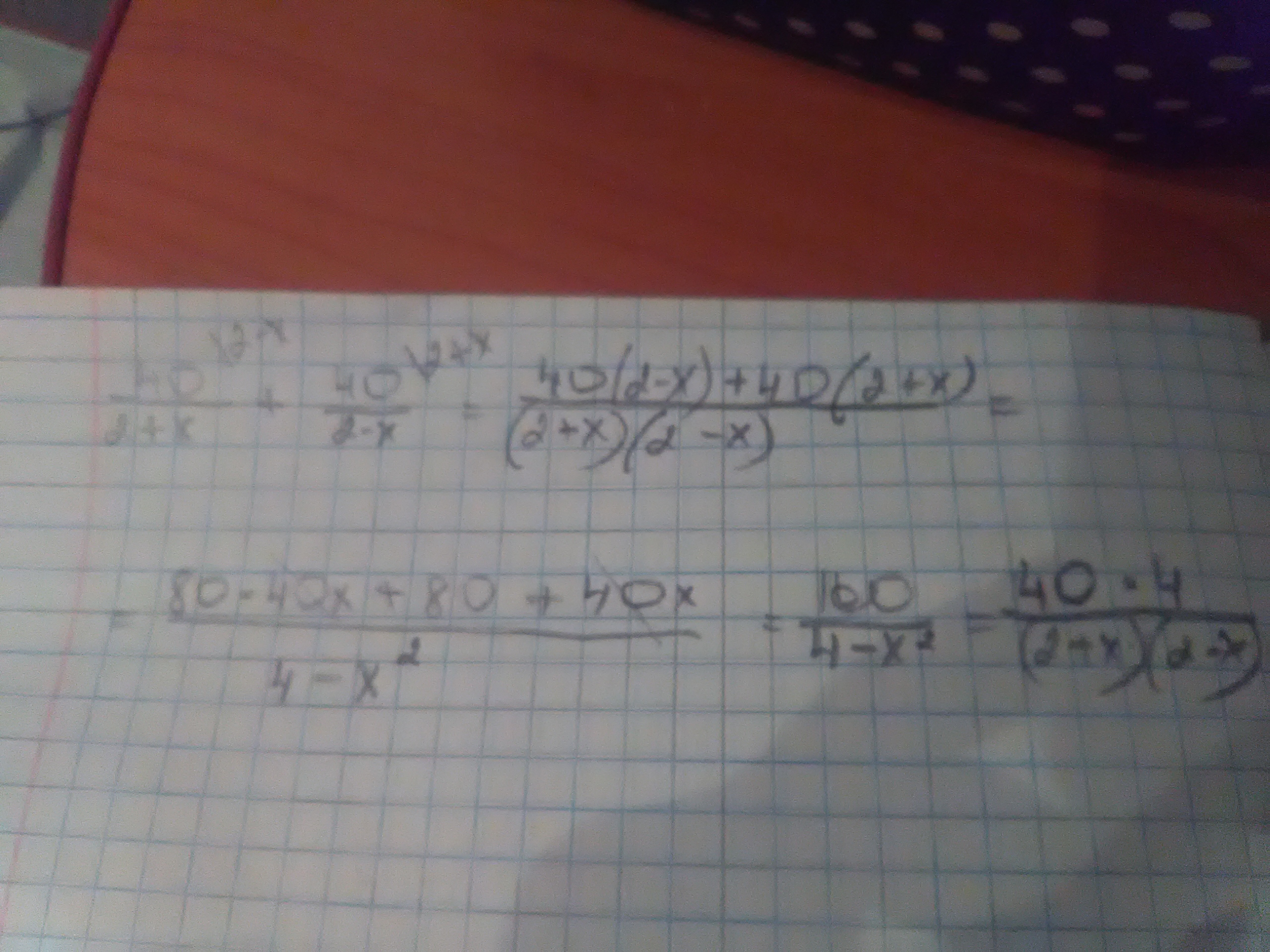
Числитель =40(2-х)+40(2+х) Знаменатель = (2+х)(2-х) Раскрываем скобки = 80-40х+80+40х, знаменатель тот же! Сокращаем подобны т.е -40х и 40х - сумма их ноль . и получается у нас 80+80=160. Знаменатель можно преоброзовать как как 4- х^2
Приложения:
Вас заинтересует