Ответы
Ответ дал:
2
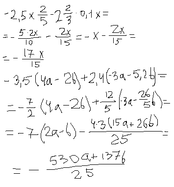
см. рисунок.......................................................
Приложения:

Ответ дал:
4
-2.5*x*2//5-2 2//3*0.1x=-2.5*x*0.4-2 2/3*0.1x=-x-2 2/3*0.1x=-x-8/3*0.1x=-x-4/15x=-19/15x
-3.5*(4a-2b)+2.4*(-3a-5.2b)=-(14a-7b)+2.4*(-3a-5.2b)=-14a+7b+2.4*(-3a-5.2b)=-14a+7b+(-7.2a-12.48b)=-14a+7b-7.2a-12.48b=-21.2a+7b-12.48b=-21.2a-5.48b
Вас заинтересует
2 года назад
2 года назад
2 года назад
7 лет назад
7 лет назад
9 лет назад
9 лет назад