Ответы
Ответ дал:
0
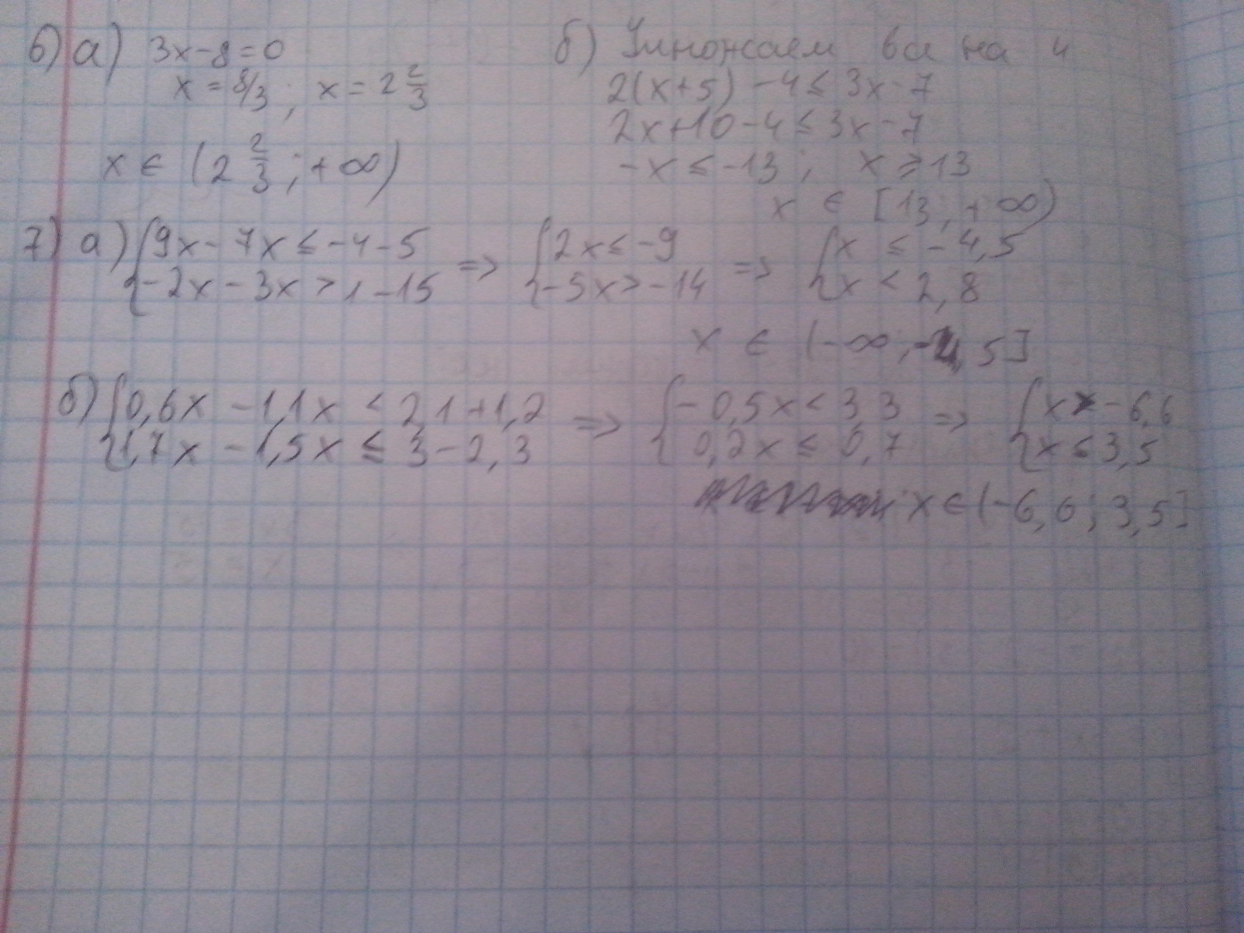
Решение во вложении.
Приложения:

Ответ дал:
0
Спасибо Большое!
Вас заинтересует
2 года назад
7 лет назад
7 лет назад
9 лет назад
9 лет назад
10 лет назад