• Предмет: Алгебра
  • Автор: 8Кот8Ученый8
  • Вопрос задан 9 лет назад

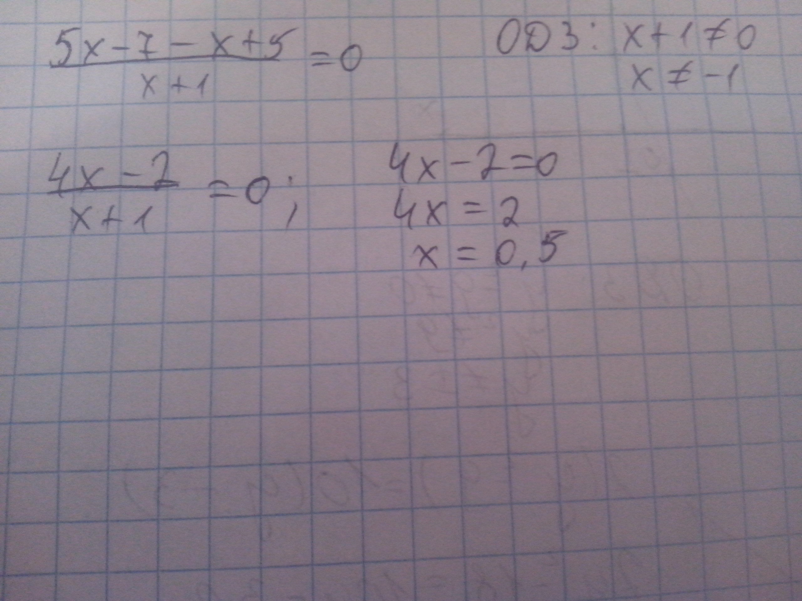
8 класс, равносильные уравнения. Решите уравнение  frac{5x-7}{x+1}  -   frac{x-5}{x+1} = 0

Ответы

Ответ дал: kisonix
0
Решение во вложении.
Приложения:
Вас заинтересует